
官方免费安全
类吸血鬼幸存者的轻度肉鸽
玩家满意度
50%
50%
安卓游戏介绍
《另一个幸存者》是由绿豆汤制作的吸血鬼幸存者like游戏,游戏玩法为轻度肉鸽动作冒险。在这款游戏中,玩家将看到许多熟悉的吸血鬼幸存者元素。玩家将化身一名吸血鬼大杀四方,在随机生成的地图中开启杀戮挑战,挑战时长为十五分钟,玩家需要控制角色消灭四面八方如潮水般涌入的敌人。游戏每局地图都是随机生成,怪物种类丰富数量颇多,加上模拟摇杆以及自动战斗系统,给玩家带来割草般的爽感。
1、进入游戏,选择游戏名和角色性别,先创建一个角色;
2、然后进入游戏首页,如果是新手的话,点击进入新手引导;
3、游戏开始后,英雄会自动攻击,击败敌人后,英雄会获得经验;
4、每次击败后英雄就会升级,并会随机获得3张1-9级的卡片,同时也会获得一些集星进度,选择一张卡片继续游戏;
5、如你如果选择群攻卡片的话,当群攻>=100%时,全功单位数量为:群攻/100向下取整~群攻/100向上取整。群攻上限为1000%,当群攻>=1000%时,剩下的群攻会自动转化为额外伤害,不同的卡片有不同的属性加成;
6、之后,玩家根据自己的需求,选择不同的卡片,直至游戏结束;
7、返回主页后,点击开始游戏;
8、之后玩家就选择自己想要的卡牌,开启收割吧。
一、总前提
平均分配加点,能点啥点啥,因为不同属性和技能之间是相乘关系,属性包含6维,加点也是平均分配。前期星星不够用,加点有优先级。
二、个人建议
前期加点顺序是分身1级、进阶1级、属性点、祝福1级、收获1级、剑雨1级,之后再分身、进阶、属性点不断循环。属性点加多少看你自己喜欢,剑雨看你感觉去加。
主要是我只有五百多星星,后期啥样我也猜不到,感觉技能加到5级就够了,后期是加属性为主,属性是六次方,提升幅度太大了。
三、原因:
1、属性点问题。
属性点是战斗中卡片和羁绊增加的百分比,对战斗提升很大。
这是没加属性的情况下1级暴击是12%
属性加到9级后,此时的暴击1级从12%增加到17.4%,增幅45%。
2、技能问题。
分身和进阶提升的输出是实打实的,对所有伤害均有加成。
剑雨很容易伤害溢出,触发了也就那么回事,关键是剑雨还存在输出上限,群攻弹射好像最高9次,攻速一秒忘了几下了,反正都有上限,超出上限就只加伤害,而这超出上限加的伤害剑雨享受不到。但前期用还是可以凑合的。
祝福这东西,只对卡牌有加成,对羁绊没有加成,点1级拼脸就行,不值得多点。
收获更坑,概率低,加的属性不稳定,点1级拼脸就行。
嗜血加的伤害也是实打实的,但前期实在没啥用,而且加的系数太低了,后面才慢慢追上来。前期不建议加。
最后说明一下,我看到分身能触发进阶,分身能不能触发剑雨我没看清,但应该能。至于进阶能不能触发剑雨,我是真看不出来。要是不能触发的话,剑雨表现的就更差劲的,不能作为其他技能和属性点的系数去相乘,丢的伤害可不是一星半点。
游戏阶段及玩法
1、学前
如果你还没有通关第一次,这是一个肉鸽选卡游戏,那么主要要讲的是怎么选卡。
1.1秒伤
在战斗界面,如图
这是这个游戏的核心,当你的秒伤大于推荐的时候,基本上意味着你能继续存活,反之大概率很快要死。注意这里秒伤在前推荐在后,5788是秒伤,5281是推荐。于是游戏就变成了如何选牌来让你的秒伤最大化。
1.2选牌原则
总共8种卡牌类型,经验和祈福可以算作成长类卡牌,其他的都是战力类卡牌。经验祈福提供的是后期能力,而战力卡牌构成了秒伤。
大致原则是,当你的秒伤远高于推荐的时候,选择经验和祈福,否则选秒伤牌。选牌时一般选择等级高的卡或者+2的卡,如果都差不多选择牌少的那个。如果秒伤比较吃紧可以去凑羁绊提战力。
这里要提到的是,攻击、攻速、暴击、增伤、弹射、群攻里面没有哪个比哪个好的说法,均衡的加点能最大化秒伤。经验和祈福相比,经验偏重前中期,祈福妥妥大后期,并且祈福是指数级增长的后期牌。
2、入门
基本上注意以上的点就能够通过第一关了。来到难度5以上,这个游戏就变成了一个养成游戏,你会发现随着难度的提升,基本上打不过。就需要利用星星进行加点,提供场外的天赋能力。
星星比较少,例如50一下的时候,可以选择点技能,收获、分身是比较好的,可以各加一级。
星星多起来的时候,不能都加在技能上,要匀一半给属性点,属性点加点要均衡,各一级。
关于技能的点法我不太清楚,各种的都有。看到论坛里常见的就是分身和进阶各6级,其余的收获和祝福点1级。群里榜一大佬难二都不会好像说平均加,收获和祝福可以多加一点。
这是我目前的点法,大家随意参考一下,关键点是要点属性,均衡点。
3、进阶
这游戏到了这里就变得非常肝了,你只能不停打,打又打不过,只能混点星星,星星高了才能推后面的关卡。另一方面它的选卡策略其实挺单一的,玩多了就没什么乐趣。它又不像放置游戏,它需要你不停的去战斗,关键战斗也不省心,游戏内置了自动模式和AI选卡模式,两个模式都挺蠢的,根本走不远,还得手动选卡。
3.1选卡逻辑量化
我想了想选卡逻辑其实不太难的,我在游戏里也找不到可以设置选卡逻辑的地方,于是干脆自己造一个
大致想法就是 1学前 里所说的选卡逻辑,并量化出来了,计算卡牌价值的伪代码如下
step1 卡牌价值 = 卡牌等级 + 基础价值bias
step2 如果是两张卡,卡牌价值 = 卡牌价值 x 2
step3 如果是祝福卡,卡牌价值 = 卡牌价值 x 1.2
step4 如果是两张卡, 卡牌价值 = 卡牌价值 + 1
step5 如果选卡之后羁绊会升级,卡牌价值 = 卡牌价值 + 5
step6 如果卡牌类型是祈福, 卡牌价值 = 卡牌价值 + 祈福补偿
step7 如果卡牌类型是经验, 卡牌价值 = 卡牌价值 + 经验补偿
其中,祈福和经验补偿这样来设计,秒伤推荐比>=2的时候,祈福补偿=1000,这样其他秒伤牌就不会被选到;同理,当秒伤推荐比小于某个值比如1的时候,让祈福补偿为-1000,这样祈福牌就不会被选到。
其中,基础价值bias是为了平衡双卡算法的,step4 +1的想法是因为双卡有一个增加羁绊的好处。
计算完每一张卡的价值后,选择价值最大的那张卡。
3.2测试猫
有了核心的选卡逻辑,后面就是用程序来自动化,我用到的工具是 测试猫,需要电脑连接安卓手机,JavaScript语言。
上手超级简单,我一个没接触过java的人10分钟就学会了。大家稍微看一下,很快就学会了。这个环节也是我乐趣最大的一个阶段,我写了我人生当中第一个游戏脚本。
4、高阶
经过阶段3,那么这个游戏已经是一个放置游戏了。那么乐趣就回归到如何更合理的选卡,这就成为一个数学建模游戏。以下是一些我的头脑风暴,还没有入手。主要是懒得动脑想公式,想用强化学习来做。
4.1数学模型构建
4.1.1目标函数
这个游戏的核心其实,怎么选卡使得秒伤最大,这个秒伤还不是当期的秒伤最大,还包括了未来至游戏结束内的秒伤最大,并且该秒伤要大于推荐秒伤。
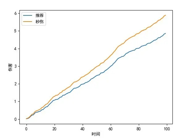
可以在坐标轴内对秒伤和推荐秒伤画两条曲线,纵坐标是伤害,横坐标是时间
如图橙色是秒伤曲线,蓝色是推荐曲线。这样游戏的目标可以定义为这两条曲线间的面积最大化
max loss = 求和 Dy(t, pi) - Ds(t)
其中Dy(t, pi)为t时刻,采取选卡策略pi下的秒伤, Ds(t)为t时刻的推荐秒伤
有约束条件s.t. Dy(t, pi) >= Ds(t),即保证在过程中保证秒伤不低于推荐
4.1.2网络及输入输出
Dy(t, pi)的函数形式考虑用全连接网络就够了
输入选卡时三张卡的信息,已有的这堆数据,如下图
可能还需要技能加点数据和时间数据。
技能加点不好归一化,可以考虑借鉴transformer里面的embedding的做法,一种技能一个等级视作一个类别,然后建立一个查询table。但是也可以先不管加点,视作统一的加点来做这个模型。
加入时间数据是考虑到推荐秒伤可能在某些时间点暴涨
5、结语
人玩游戏,不是游戏玩人。希望大家保持学习,保持进步,生命珍贵,不要沉溺于肤浅的欲望之中。
1、星星:天赋点&等级,用于提升属性与技能;
2、金币:抽怪用,怪够的时候尽量不用;
3、体力:不是一直输基本上用不完;
4、离线经验:提升星星等级需要的经验;
1、另一个幸存者是一款动作游戏,在这款游戏中玩家将会在15分钟内来尝试生存的更加长久。
2、玩家可以来不断的与敌人展开战斗,同时也要收集星星,升级自己的实力迎战。
3、多样性的组合方式,随心所欲的PK,让你帮助另外一位与你一起战斗的幸存者。
安卓游戏更新
v60版本
例行版本更新

罗格船长
68.24M | 2025-12-11
《罗格船长》是一款超级好玩的带有肉鸽元素的策略航海游戏。游戏中,玩家们将化身罗格船长本人,将在每次都随机生成的海域地图内进行探险。玩家们需要精心安排船员的队伍,培养并升他们,壮大自己的船员队伍,去更加复杂的海域进行新的冒险。游戏除Roguelike元素外,还需要玩家进行一定的策略思考。

光之战士改写命运
983.77M | 2025-12-10
《光之战士改写命运》(Lia Hacking Destiny)是由steam同名端游移植而来的Roguelik动作冒险游戏。游戏结合了射击、黑客入侵等多种玩法。游戏背景设置在一个已经被机器统治的人类末世中,玩家们需要通过自己精湛的黑客技术以及其他剧情选择来改变现状,在随机生成的关卡中面对成群的机械敌人,并且使他们短路或者用各种武器击倒他们。

奇境小镇
74.64M | 2025-12-10
奇境小镇,这款游戏玩法丰富有趣,将角色扮演、模拟经营、自走棋、养成、建设等多种元素融合在一起,带给玩家独特的游戏体验。游戏中,玩家将化身为一位镇长,你需要带领冒险者们不断前进,消灭遇到的敌人并获取奖励,从而推动小镇的发展,解锁更多小镇区域。为了丰富玩家的游戏体验,游戏内设有主角养成系统和副本挑战玩法内容,大大增加了游戏的可玩性和挑战性!

地牢年代记
78.86M | 2025-12-10
《地牢年代记》是一款由厂商Lee jihoon独立制作发行的地牢玩法的动作冒险类角色扮演游戏。游戏中,玩家们将在战士、枪手、法师三种职业中自由切换,随心所欲选择自己想玩的职业。玩家们需要探索无尽的地牢,并且遇到越来越难对付的敌人。游戏中武器资源丰富,有各种各样的武器供玩家们挑选。

迷途猫的灵魂碎片
466.21M | 2025-12-10
《迷途猫的灵魂碎片》是一款根据steam同名端游益智而来的治愈系冒险手游。游戏中玩家们将扮演小猫咪的主人,帮助猫咪找到自己的灵魂碎片。游戏玩法为可爱童趣的躲猫猫,玩家只需要在场景中点击寻找猫咪的灵魂碎片并完成任务即可。游戏画面采用手绘风格,且画面内容丰富、用色精彩,十分具有童话风的奇幻色彩。

僵尸尖叫
93.24M | 2025-12-10
《僵尸尖叫》是一款精彩好玩的以僵尸为题材的动作跑酷游戏。游戏进行了全新改版和华丽升级,提高了玩家的游戏体验,让玩家们能游玩得更加开心。首先,《僵尸尖叫》有丰富的场景,玩家们可以在其中任意畅游,去到自己想去的任何地方。其次,《僵尸尖叫》设计有许多超能的道具,能够让玩家持久变身,享受无敌的快感。另外,还有各种炫酷的技能。

怪人地牢
81.82M | 2025-12-09
《怪人地牢》又称《怪蛋迷宫》,是一款结合了Roguelike与吃豆人游戏元素的休闲冒险游戏。游戏中,玩家们将化身一位可爱的怪蛋,为了拯救被拐走的最亲密的朋友,你来到了这座来自地狱的怪物地牢。游戏中你将遭遇许多强大的敌人和怪物,打败他们并且获得他们的技能,让自己变得更强大吧。游戏采用Q版画风,十分可爱。另外,游戏还设计了许多可爱的游戏角色供玩家解锁以及自由选择。

扣扣兽
161.04M | 2025-12-09
《扣扣兽》是一款steam移植而来的横版平台跳跃闯关类游戏。游戏中,玩家们将化身一只可以变身成为一颗篮球的犰狳迪尔,踏上前往解救自己的好朋友皮克尔的道路。路上玩家们需要克服重重困难,通过跳跃、下蹲等动作通过障碍,同时要小心谨慎,在时不时就会出现的敌人的攻击下保护自己。玩家变成篮球后,就可以自由弹跳,在关卡内依靠平台获得弹跳的动力,十分有趣。
本站资源由网友提供,版权归原作者所有;如果侵犯了您的权益,请来信告知,我们会尽快删除
评论
暂无评论,快来评论吧